(精校版)2019年全国卷Ⅰ理数高考真题文档版(含答案).docx
绝密★启用前
2019年普通高等学校招生全国统一考试
理科数学
注意事项:
1.答卷前,考生务必将自己的姓名、考生号等填写在答题卡和试卷指定位置上。
2.回答选择题时,选出每小题答案后,用铅笔把答题卡对应题目的答案标号涂黑。如需改动,用橡皮擦干净后,再选涂其他答案标号。回答非选择题时,将答案写在答题卡上。写在本试卷上无效。
3.考试结束后,将本试卷和答题卡一并交回。
一、选择题:本题共12小题,每小题5分,共60分。在每小题给出的四个选项中,只有一项是符合题目要求的。
1.已知集合,则
=
A. B.
C.
D.
2.设复数z满足,z在复平面内对应的点为(x,y),则
A. B.
C.
D.
3.已知,则
A. B.
C.
D.
4.古希腊时期,人们认为最美人体的头顶至肚脐的长度与肚脐至足底的长度之比是(
≈0.618,称为黄金分割比例),著名的“断臂维纳斯”便是如此.此外,最美人体的头顶至咽喉的长度与咽喉至肚脐的长度之比也是
.若某人满足上述两个黄金分割比例,且腿长为105cm,头顶至脖子下端的长度为26cm,则其身高可能是
A.165cm B.175cm C.185cm D.190 cm
5.函数f(x)=在
的图像大致为
A. B.
C. D.
6.我国古代典籍《周易》用“卦”描述万物的变化.每一“重卦”由从下到上排列的6个爻组成,爻分为阳爻“——”和阴爻“——”,如图就是一重卦.在所有重卦中随机取一重卦,则该重卦恰有3个阳爻的概率是
A. B.
C.
D.
7.已知非零向量a,b满足,且
b,则a与b的夹角为
A. B.
C.
D.
8.如图是求的程序框图,图中空白框中应填入
A.A= B.A=
C.A=
D.A=
9.记为等差数列
的前n项和.已知
,则
A. B.
C.
D.
10.已知椭圆C的焦点为,过F2的直线与C交于A,B两点.若
,
,则C的方程为
A. B.
C.
D.
11.关于函数有下述四个结论:
①f(x)是偶函数②f(x)在区间(,
)单调递增
③f(x)在有4个零点④f(x)的最大值为2
其中所有正确结论的编号是
A.①②④ B.②④ C.①④ D.①③
12.已知三棱锥P−ABC的四个顶点在球O的球面上,PA=PB=PC,△ABC是边长为2的正三角形,E,F分别是PA,AB的中点,∠CEF=90°,则球O的体积为
A. B.
C.
D.
二、填空题:本题共4小题,每小题5分,共20分。
13.曲线在点
处的切线方程为____________.
14.记Sn为等比数列{an}的前n项和.若,则S5=____________.
15.甲、乙两队进行篮球决赛,采取七场四胜制(当一队赢得四场胜利时,该队获胜,决赛结束).根据前期比赛成绩,甲队的主客场安排依次为“主主客客主客主”.设甲队主场取胜的概率为0.6,客场取胜的概率为0.5,且各场比赛结果相互独立,则甲队以4∶1获胜的概率是____________.
16.已知双曲线C:的左、右焦点分别为F1,F2,过F1的直线与C的两条渐近线分别交于A,B两点.若
,
,则C的离心率为____________.
三、解答题:共70分。解答应写出文字说明、证明过程或演算步骤。第17~21题为必考题,每个试题考生都必须作答。第22、23题为选考题,考生根据要求作答。
(一)必考题:共60分。
17.(12分)
的内角A,B,C的对边分别为a,b,c,设
.
(1)求A;
(2)若,求sinC.
18.(12分)
如图,直四棱柱ABCD–A1B1C1D1的底面是菱形,AA1=4,AB=2,∠BAD=60°,E,M,N分别是BC,BB1,A1D的中点.
(1)证明:MN∥平面C1DE;
(2)求二面角A−MA1−N的正弦值.
19.(12分)
已知抛物线C:y2=3x的焦点为F,斜率为的直线l与C的交点为A,B,与x轴的交点为P.
(1)若|AF|+|BF|=4,求l的方程;
(2)若,求|AB|.
20.(12分)
已知函数,
为
的导数.证明:
(1)在区间
存在唯一极大值点;
(2)有且仅有2个零点.
21.(12分)
为治疗某种疾病,研制了甲、乙两种新药,希望知道哪种新药更有效,为此进行动物试验.试验方案如下:每一轮选取两只白鼠对药效进行对比试验.对于两只白鼠,随机选一只施以甲药,另一只施以乙药.一轮的治疗结果得出后,再安排下一轮试验.当其中一种药治愈的白鼠比另一种药治愈的白鼠多4只时,就停止试验,并认为治愈只数多的药更有效.为了方便描述问题,约定:对于每轮试验,若施以甲药的白鼠治愈且施以乙药的白鼠未治愈则甲药得1分,乙药得分;若施以乙药的白鼠治愈且施以甲药的白鼠未治愈则乙药得1分,甲药得
分;若都治愈或都未治愈则两种药均得0分.甲、乙两种药的治愈率分别记为α和β,一轮试验中甲药的得分记为X.
(1)求的分布列;
(2)若甲药、乙药在试验开始时都赋予4分,表示“甲药的累计得分为
时,最终认为甲药比乙药更有效”的概率,则
,
,
,其中
,
,
.假设
,
.
(i)证明:为等比数列;
(ii)求,并根据
的值解释这种试验方案的合理性.
(二)选考题:共10分。请考生在第22、23题中任选一题作答。如果多做,则按所做的第一题计分。
22.[选修4—4:坐标系与参数方程](10分)
在直角坐标系xOy中,曲线C的参数方程为(t为参数).以坐标原点O为极点,x轴的正半轴为极轴建立极坐标系,直线l的极坐标方程为
.
(1)求C和l的直角坐标方程;
(2)求C上的点到l距离的最小值.
23.[选修4—5:不等式选讲](10分)
已知a,b,c为正数,且满足abc=1.证明:
(1);
(2).
2019年普通高等学校招生全国统一考试
理科数学•参考答案
一、选择题
1.C 2.C 3.B 4.B 5.D 6.A 7.B 8.A 9.A 10.B 11.C 12.D
二、填空题
13.y=3x 14. 15.0.18 16.2
三、解答题
17.解:(1)由已知得,故由正弦定理得
.
由余弦定理得.
因为,所以
.
(2)由(1)知,由题设及正弦定理得
,
即,可得
.
由于,所以
,故
.
18.解:(1)连结B1C,ME.
因为M,E分别为BB1,BC的中点,
所以ME∥B1C,且ME=B1C.
又因为N为A1D的中点,所以ND=A1D.
由题设知A1B1DC,可得B1C
A1D,故ME
ND,
因此四边形MNDE为平行四边形,MN∥ED.
又MN平面EDC1,所以MN∥平面C1DE.
(2)由已知可得DE⊥DA.
以D为坐标原点,的方向为x轴正方向,建立如图所示的空间直角坐标系D−xyz,则
,A1(2,0,4),
,
,
,
,
,
.
设为平面A1MA的法向量,则
,
所以可取
.
设为平面A1MN的法向量,则
所以可取
.
于是,
所以二面角的正弦值为
.
19.解:设直线.
(1)由题设得,故
,由题设可得
.
由,可得
,则
.
从而,得
.
所以的方程为
.
(2)由可得
.
由,可得
.
所以.从而
,故
.
代入的方程得
.
故.
20.解:(1)设,则
,
.
当时,
单调递减,而
,可得
在
有唯一零点,
设为.
则当时,
;当
时,
.
所以在
单调递增,在
单调递减,故
在
存在唯一极大值点,即
在
存在唯一极大值点.
(2)的定义域为
.
(i)当时,由(1)知,
在
单调递增,而
,所以当
时,
,故
在
单调递减,又
,从而
是
在
的唯一零点.
(ii)当时,由(1)知,
在
单调递增,在
单调递减,而
,
,所以存在
,使得
,且当
时,
;当
时,
.故
在
单调递增,在
单调递减.
又,
,所以当
时,
.从而,
在
没有零点.
(iii)当时,
,所以
在
单调递减.而
,
,所以
在
有唯一零点.
(iv)当时,
,所以
<0,从而
在
没有零点.
综上,有且仅有2个零点.
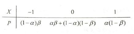
21.解:X的所有可能取值为.
所以的分布列为
(2)(i)由(1)得.
因此,故
,即
.
又因为,所以
为公比为4,首项为
的等比数列.
(ii)由(i)可得
.
由于,故
,所以
表示最终认为甲药更有效的概率,由计算结果可以看出,在甲药治愈率为0.5,乙药治愈率为0.8时,认为甲药更有效的概率为
,此时得出错误结论的概率非常小,说明这种试验方案合理.
22.解:(1)因为,且
,所以C的直角坐标方程为
.
的直角坐标方程为
.
(2)由(1)可设C的参数方程为(
为参数,
).
C上的点到的距离为
.
当时,
取得最小值7,故C上的点到
距离的最小值为
.
23.解:(1)因为,又
,故有
.
所以.
(2)因为为正数且
,故有
=24.
所以.