资源下载

2021年河北中考物理一轮复习训练:第十六章 电压 电阻

2021/6/3 23:39:37 人评论 次浏览

2021年河北中考物理一轮复习训练:第十六章 电压 电阻.docx


第十六章电压 电阻

河北中考真题

1.[2017·河北改编]如图5所示,电源电压不变,滑动变阻器的滑片P置于中点,a为电流表或电压表。任意闭合开关,电路都是安全的,下列说法中正确的是 (  )

5

A.a是电压表     

B.a是电流表      

C.a是电压表或电流表     

D.无法判断

2.[2019·河北改编]小明利用如图6甲所示的电路进行实验。

6

(1)用笔画线代替导线,将图乙中的实物电路按照图甲所示的电路图连接完整。

(2)闭合开关前,应将滑动变阻器的滑片滑到最    (选填“左”或“右”)端。 

(3)连接完电路后,小明只闭合SS1,移动滑片P,电压表示数发生改变;只闭合SS2,移动滑片P,小灯泡不发光。于是小明用电压表进行电路故障检测,把电压表并联在某电路元件两端,测试结果如下表所示。则电路中一定存在的故障是    (填序号)。 

测试元件

灯泡L

开关S2

电压表

无示数

有示数

灯泡L处断路   

灯泡L处短路     

开关S2处断路

全国中考真题

3.[2019·邵阳]在图7,要使L1L2串联,在“〇”处接入电流表或电压表,测量电路中的电流及L1两端的电压。以下做法正确的是 (  )

7

A.a为电流表,b为电流表

B.a为电压表,b为电流表

C.a为电流表,b为电压表

D.a为电压表,b为电压表

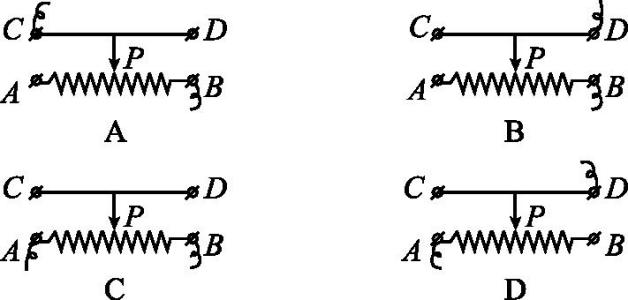
4.[2020·邵阳]如图8所示,当滑动变阻器的滑片P向左移动时,能使电路中的电阻变小的接法是 (  )

8

5.[2020·嘉兴]为了减少碳排放,国家大力推行电动汽车。电动汽车的速度由流经电动机的电流大小控制,当驾驶员向下踩“油门”踏板时,改变接入电路的变阻器阻值,车速变大。图9是该电动汽车的模拟电路,其中符合要求的是 (  )

9

6.[2020·广州]小明测量不同型号铅笔在纸上涂画所得线条的电阻,实验步骤如下:

(1)用铅笔在纸上画出两段长为15cm的线条,在其中一段线条上重复涂画3,另一段重复涂画6次。

(2)换用不同型号铅笔重复(1)的操作,得到多组等长等宽的线条如图10所示。

10

(3)测出每段线条两端的电阻记录在表中。

 Shape1      铅笔型号

 Shape2线条电阻/

重复涂画次数/   

2B

4B

6B

8B

9B

3

0.79

0.67

0.49

6

0.65

0.43

0.28

根据实验数据,可推测电阻最小的是 (  )

A.①         B.②          C.③          D.④

7.[2020·绥化]如图11甲所示是小明探究“串联电路的电压规律”的实验电路图。

11

(1)连接电路时,开关应    。实验时,L1和灯L2的规格应     (选填“相同”或“不相同”)。 

(2)闭合开关后,小明发现两灯都不发光,于是分别把电压表接在图甲中AB,BC间及AC,测得数据分别是UAB=3V,UBC=0V,UAC=3V;小明检查发现只有灯L1和灯L2中的一只出现故障,则故障可能是 。 

(3)处理好故障后,小明把电压表接在AB之间重新测量,电压表示数如图乙所示,电压表的分度值是    V;为了使实验结果更准确,接下来小明应该:断开开关, 。 

(4)正确实验后,小明通过分析多组数据得出结论:               (请使用文字叙述

8.[2019·百色改编]在“探究电阻的大小与哪些因素有关”的实验中,采用如图12所示的实验装置,abc是由镍铬合金制成的三根导线,ab长度相同但粗细(横截面积)不同,ac粗细相同但长度不同,导线d由锰铜合金制成,长短、粗细与导线b相同。

12

(1)实验中电流表的示数越大,对应的导线的电阻越    。 

(2)将导线a接在MN之间,闭合开关,电流表的示数如图13所示,此时电流为

    A。 

13

(3)依次将导线bcd替换导线a接入电路,电流表的示数如下表所示。

导线序号

a

b

c

d

电流表的示数


1.3 A

2.2 A

2.7 A

选择导线ab是为了探究导线电阻的大小与       的关系;探究导线电阻的大小与材料的关系,应选用的两根导线是     (填序号)。 

由上表数据可知,导线电阻的大小与材料有关,用相同材料制成的导线长度越    ,横截面积越    ,电阻越大。 


答案

1.A [解析]由电路图可知,S1S2闭合时,电表a直接与电源相连,a为电流表,会造成电源短路,而此时电路是安全的,说明a是电压表,A正确。

2.(1)如图所示 

(2) 

(3)

[解析](1)由电路图可知,电源电压为3V,而电压表测并联部分电路两端的电压,故只需将电压表的“3”接线柱与开关S1的右接线柱连接即可。

(2)为了保护电路,闭合开关前,应将滑动变阻器的滑片移到阻值最大处,即滑到最右端。

(3)若灯泡L处断路,将电压表与灯泡L并联,则电压表有示数,不符合题意;

若灯泡L处短路,将电压表与灯泡L并联,则电压表无示数,将电压表与开关S2并联,则电压表仍然无示数,不符合题意;

若开关S2处断路,将电压表与开关S2并联,则电压表有示数且接近电源电压,符合题意。

3.B [解析]由图可知,a与灯泡L1并联,所以a应为电压表;b串联在电路中,所以b应为电流表,此时电流表测量电路中的电流,电压表测量L1两端的电压。

4.D

5.A [解析]根据题意可知,当驾驶员向下踩“油门”踏板时,改变变阻器接入电路的阻值,使通过电动机的电流变大,车速变大。

A,滑动变阻器与电动机串联接入电路中,踏板向下移动,滑动变阻器接入电路的电阻减小,电路中电流变大,A符合题意。

B,滑动变阻器与电动机串联接入电路中,踏板向下移动,滑动变阻器接入电路的电阻变大,电路中电流变小,B不符合题意。

CD,滑动变阻器与电动机并联接入电路中,踏板向下移动,通过电动机的电流不变,CD不符合题意。

6.D [解析]由表格数据可知,重复涂画次数相同时,铅笔的含碳量越高,电阻越小;铅笔的含碳量相同时,重复涂画次数越多,电阻越小,故电阻最小的是

7.(1)断开 不相同 (2)L1断路

(3)0.5 改接电压表的0~3V量程(或改接电压表的小量程)

(4)串联电路中,电源两端电压等于各用电器两端电压之和

[解析](1)为了保护电路,连接电路时,开关应断开。为了使实验结论具有普遍性,应选用不同规格的灯泡进行多次实验。

(2)把电压表接在图甲中AB,UAB=3V,说明AB两点外的电路是通路,把电压表接在BC,UBC=0V,说明BC两点外的电路有断路;把电压表接在AC,UAC=3V,说明AC两点外的电路是通路,所以故障可能是L1断路。

(3)电压表示数如图乙所示,电压表选用的量程是0~15V,分度值是0.5V

图乙中电压表的示数是2V,为了使实验结果更准确,需要换接电压表的0~3V量程。

(4)该实验可得到的实验结论是:串联电路中,电源两端电压等于各用电器两端电压之和。

8.(1) (2)1.1

(3)粗细(或横截面积) bd ②  

[解析](1)实验中通过电流表示数大小反映电阻大小,电流表示数越大,说明导线的电阻越小。

(2)图乙中,电流表的量程为0~3A,分度值为0.1A,示数为1.1A

(3)导线ab的材料、长度都相同但粗细(横截面积)不同,是为了探究导线电阻的大小与横截面积的关系,由表格数据可知通过a的电流小于通过b的电流,所以可以得出在材料、长度相同时,横截面积越大,电阻越小;探究导线电阻的大小与材料的关系,需要控制长度、横截面积都相同,改变材料,故导线bd符合题意;由表格数据可得出结论:用相同材料制成的导线长度越长,横截面积越小,电阻越大。

5


 

网友评论
    暂无评论...

栏目类别