新闻资讯

献给即将高考的考生——高中物理关键知识点剖析(15)

2021/6/6 2:00:36 人评论 次浏览

献给即将高考的考生——高中物理关键知识点剖析(15)


关键知识点(15)——原子结构3:量子力学的诞生!

1.玻尔原子理论对氢原子光谱的解释。

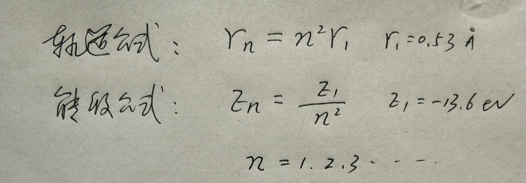
玻尔原子理论建立后,玻尔迫不及待的对结构最简单的氢原子进行了计算,得出两个公式:

献给即将高考的考生——高中物理关键知识点剖析(15)

氢原子的两个公式

然后,对氢光谱的规律进行了解释,并且,画出了能级跃迁图:

献给即将高考的考生——高中物理关键知识点剖析(15)

氢原子能级图

理论计算的结果和实验测量的结果非常吻合,说明玻尔原子理论是正确的。但是玻尔原子理论,对核外有多个电子的复杂原子光谱的规律的计算结果,和实际测量的结果差别很大,说明玻尔原子理论具有一定的局限性,呼唤着新的理论的诞生!


2.量子力学的诞生

玻尔和他同时代的其他物理学家:玻恩、薛定谔、海森堡等物理学家,进行了深入细致的分析,最后他们一致认为,玻尔原子理论的成功之处在于大胆的引入了普朗克父子的量子理论,失败之处在于保留了过多的经典物理理论。于是在薛定谔和海森堡两位科学家的独立努力下,建立了全新的量子力学。

量子力学是我们改造微观世界的理论工具,但是它不能给我们一个清晰的物理图景。在量子力学中,“电子云”的概念取代了“轨道”的概念——原子核外的空间很辽阔,电子哪个地方都去,只是在不同的地方出现的概率不同而已,玻尔原子理论中的轨道处电子出现的机率大!

现在,量子力学在新型材料的发展过程中,在半导体的制作过程中,发挥着重要的作用,才有了集成电路,才使我们的用电器的体积大大缩小,普及到千家万户,我们才能过上现代化的生活。可以说没有量子力学的发展,就没有我们现代化的生活!

例题:玻尔在他提出的原子模型中所做的假设有()

A.原子处在具有一定能量的定态中,虽然电子做变速运动,但并不向外辐射电磁波

B.原子的不同能量状态与电子沿不同的圆轨道绕核运动相对应,而电子的可能运行轨道的分布是不连续的

C.电子从一个轨道跃迁到另一个轨道时,辐射(或吸收)一定频率的光子

D.电子跃迁时辐射的光子的频率,等于电子绕核做圆周运动的频率

解析:A、B、C三项,都是玻尔提出来的假设,其核心是原子定态概念的引入,与能级跃迁学说的提出,也就是“量子化”的概念。原子的不同能量状态与,电子绕核运动时不同的轨道相对应,是经典理论与量子化概念的结合,所以正确答案是A、B、C。

献给即将高考的考生——高中物理关键知识点剖析(15)



网友评论
    暂无评论...

栏目类别